1. 알고리즘 설명
삽입 정렬을 개선한 알고리즘이다.
삽입 정렬의 경우, i를 증가시키면서 왼편 정렬되어 있는 곳에서 v[i]가 들어갈 곳을 찾아서 집어넣는 작업을 해나가는데, 이때 '정렬되어 있는 곳에서 찾는' 작업을 이진 검색(binary search)로 해서 빠르게 찾는 것이다. 또한, 들어갈 곳을 만들기 위해 값들을 오른쪽으로 한 칸씩 이동시키는데, 이 작업을 하나씩 이동시키는 것이 아니라 블록 전체를 오른쪽으로 한 칸 이동시키면(move 함수 이용), 이론적으로는 교환에 O(n2)이지만 실제 move를 이용한 블록 이동을 하면 O(n)의 효과를 볼 수 있다.
개선 1. 순차 검색에 의해 '비교'에 대한 시간 복잡도 O(n2) --> 이진 검색으로 O(nlogn))으로 개선
개선 2. 값 1개씩 이동으로 '교환'에 대한 시간 복잡도 O(n2) --> 블록 이동으로 O(n) 효과

2. 알고리즘 Flow
binary_insersionSort(v)
1. i=1에서 (n-1)인 동안
2. key=v[i]
3. [0,i]구간에서 key의 upper bound인 위치 p를 이진탐색으로 찾는다
3. [p,i-1]블록을 [p+1,i]블록이 되도록 move
4. v[p]=key
binary_search_upper_bound(s,e,k) //s:start pos, e:end pos, k:the key to find
1. while(s<e) //[s,e)
2. m = (s+e)/2
3. if(k >= v[m]) s=m+1 //[m+1,e)
4. else e=m //(s,m)
5. 1로 돌아감
6. return e
위 binary_search_upper_bound 함수는, [s, e) 사이에서 v[i]>k가 처음 되는 i 값을 리턴한다. (일반적인 이진 탐색은 v[i]==k가 되는 i 값 리턴)
삽입 정렬에서 요구되는 위치가, 원하는 key가 들어갈 자리이기에, 왼쪽에서 오른쪽으로의 순서로 생각했을 때, key보다 큰 수가 처음으로 나오는 자리가 key가 들어갈 자리가 된다.
따라서, 이러한 upper bound 자리를 찾을 수 있게 이진 탐색 코드를 작성해야 한다. 이를 위해서는 (k > = v[m])일 때 중간 m을 기준으로 오른 편을 찾을 수 있게 하고 --> if(k>=v[m]) s=m+1
그렇지 않은 경우 그 왼편을 찾게 하면 된다. --> else e=m
3. 소스 코드
//[s,e)사이에서 v[i]>k가 처음되는 i값 리턴
int bi_search_upper_boutn(vector<int> &v, int s, int e, const int k){
int m;
while(s<e){ //[m,e)
m = (s+e)/2;
if(k >= v[m]) s=m+1; //[m+1,e)
else e=m; //[s,m)
}
return e;
}
void binary_insertionSort(vector<int> &v){
int size = v.size();
for(int i=1;i<size;++i){
int key = v[i];
int pos = bi_search_upper_boutn(v,0,i, key);
move(v.begin()+pos,v.begin()+i,v.begin()+pos+1);
v[pos] = key;
}
}
위 코드의 binary_insertionSort 함수를 보면, move 함수에 의해 블록 전체를 한 칸 오른 편으로 shift 하는 효과를 보게 한 것을 볼 수 있을 것이다.
이 함수를 사용함으로써 각각 하나씩 '교환' 일어나서 성능 감소를 일으키는 것을 막을 수 있다.
4. 시간 복잡도: O(nlogn)
- 비교: O(nlogn)
- 교환: O(n)
i=1 : 비교(log2), 교환(최소0, 최대1)
i=2 : 비교(log3), 교환(최소0, 최대1)
...
i=n-1: 비교(logn), 교환(최소0, 최대1)
총 비교: O(nlogn)
총 교환: O(n)
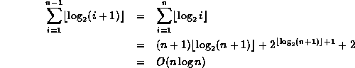
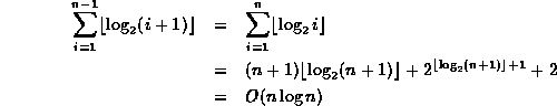
총 비교 횟수는,

5. 공간 복잡도: O(n)
6. 데이터 안정성: 안정함
(같은 값에 대해 원래의 순서가 정렬 후에도 보존됨)
7. 알고리즘 특성
원래의 삽입 정렬은 비교와 교환에 모두 O(n2) 이었으나, 이진 삽입 정렬에 블록 단위 이동을 결합했을 경우에는 비교에 O(nlogn) 삽입에 O(n)으로 개선됨을 알 수 있다.
'Algorithm > 정렬 탐색 뻐개기' 카테고리의 다른 글
| 006. 퀵 정렬(Quick Sort) (0) | 2020.05.05 |
|---|---|
| 005. 거품 정렬(Bubble Sort) (0) | 2020.05.05 |
| 003. 삽입 정렬(Insertion Sort) (0) | 2020.05.05 |
| 002. 선택 정렬(Selection Sort) (0) | 2020.05.05 |
| 001. 정렬(Sorting) (0) | 2020.05.05 |